Miscellaneous volumetric fractals

Renderings by Paul Bourke
Inspired from postings by Roger Bagula and Chris Thomasson
April 2026


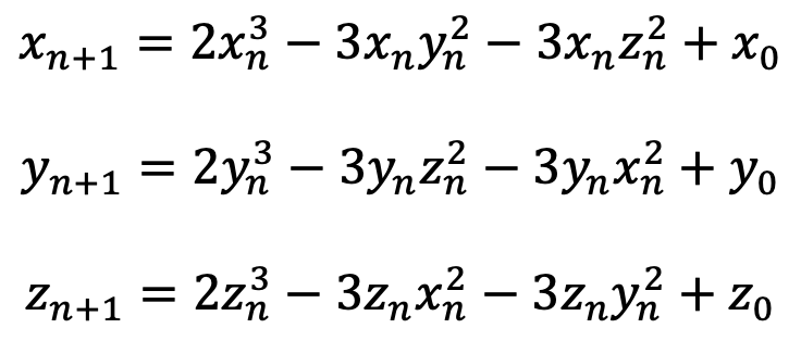
Example 1


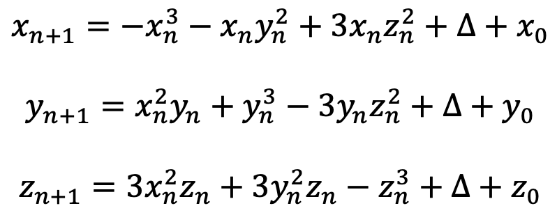
Example 2

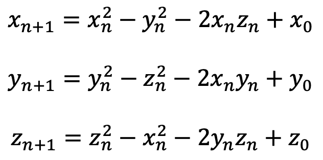
Example 3


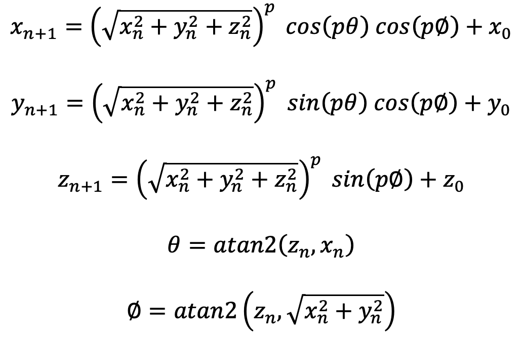
Example 4


Example 5