Num Julia fractalsImages by Paul BourkeInspired and named by Robert Foulke August 2025
The initial motivation by Robert Foulke for the fractals presented here arose by asking what would happen if the complex value z and 2 were swapped in the usual Mandelbrot expression and the corresponding Julia sets. Named by his granddaughter, calling them number fractals because they started with a number rather than the z (later nicknamed Num Fractals). Specifically, modifying the familiar Mandelbrot series to read as follows.
The images here are computed as Julia fractals, that is, each point on the plane is the initial value z0 of the complex series. Each point on the plane is shaded depending on how quickly the series converges, or diverges. For any particular image c is a constant, each value in general results in a different fractal pattern. The series equation and the value of c are provided in each case so the reader can play along at home. ![]() c: (-0.45,-0.11)
![]() c: (0.33,0.35)
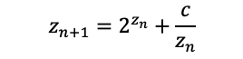
The following are Julia fractal images based upon variations of the above equation. Equation 1
Where the absolute value of a complex number is defined as
![]() c: (0.5,0.0)
![]() c: (0.2,-0.1)
![]() c: (0.15,0.05) Equation 2
![]() c: (-0.5,0.5)
![]() c: (0.0,0.6)
![]() c: (-0.5,-0.3) Equation 3
![]() c: (0.0,0.2)
![]() c: (0.3,0.0)
![]() c: (0.1,0.0) Equation 4
![]() c: (0.0,0.1) Equation 5
![]() c: (-0.4,0.2) Equation 6
![]() c: (0.3,1.2)
![]() c: (0.3,-0.85) Equation 7
![]() c: (0.0,0.5)
|