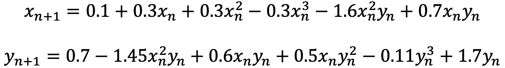
Johnson attractor

Written by Paul Bourke
Based upon attractor created by Keith Johnson
February 2026


The attractor here was first documented by Keith Johnson and is based up two real valued series in 2 dimensions (x,y).